0948279988
Logo
Loading...
GÓC CHUYÊN MÔN  Thử nghiệm nhựa

Tại sao người ta kiểm tra độ bền kéo ?

17:23 | 30/06/2023
  • Thử nghiệm độ bền kéo là một loại thử nghiệm cơ học cơ bản được thực hiện bởi các kỹ sư và nhà khoa học vật liệu tại các cơ sở sản xuất và nghiên cứu trên toàn thế giới. Thử nghiệm độ bền kéo (hoặc thử nghiệm độ căng) tác dụng lực lên mẫu vật liệu để đo phản ứng của vật liệu đối với ứng suất kéo (hoặc kéo). Loại thử nghiệm này cung cấp cái nhìn sâu sắc về các đặc tính cơ học của vật liệu và cho phép các nhà thiết kế sản phẩm đưa ra quyết định sáng suốt về thời điểm, địa điểm và cách sử dụng một vật liệu nhất định.
  • Kiểm tra độ bền kéo và đặc tính vật liệu là rất quan trọng đối với các nhà sản xuất và nhà nghiên cứu trong tất cả các ngành. Để một vật liệu được chọn cho một sản phẩm hoặc mục đích sử dụng mới, các nhà nghiên cứu phải đảm bảo rằng vật liệu đó có thể chịu được các lực cơ học mà nó sẽ gặp phải trong ứng dụng sử dụng cuối cùng. Ví dụ, cao su lốp xe phải đủ đàn hồi để hấp thụ sự không đồng đều trên mặt đường, trong khi chỉ khâu phẫu thuật phải đủ chắc để giữ các mô sống lại với nhau. Hơn nữa, vật liệu và sản phẩm có thể tiếp xúc với các lực cơ học trong thời gian ngắn hoặc dài, thông qua sử dụng theo chu kỳ hoặc lặp đi lặp lại và trong nhiều điều kiện môi trường và nhiệt độ khác nhau. Lốp ô tô  dự kiến ​​sẽ kéo dài trong một số dặm nhất định dưới nhiều điều kiện thời tiết, trong khichỉ khâu phẫu thuật , mặc dù chỉ được sử dụng một lần, phải duy trì độ bền kéo ổn định đủ lâu để cơ thể lành lại. 
  • Ngoài tầm quan trọng của nó đối với quy trình R&D, thử nghiệm độ bền kéo cũng được các bộ phận đảm bảo chất lượng sử dụng để đảm bảo rằng các lô thành phẩm đáp ứng các thông số kỹ thuật cần thiết cho các đặc tính chịu kéo. Điều này quan trọng từ cả góc độ an toàn và kinh doanh, vì các sản phẩm bị lỗi có thể gây nguy hiểm cho người dùng cuối và cũng có thể gây ra tác hại đáng kể cho nhà sản xuất dưới dạng sản phẩm bị chậm trễ, mất doanh thu và danh tiếng bị tổn hại.
  • Thử kéo được thực hiện trên máy thử vạn năng hay còn gọi là máy thử kéo hay máy thử kéo. Những máy này bao gồm một khung cột đơn hoặc cột kép được trang bị cảm biến tải trọng , phần mềm kiểm tra , các tay nắm và phụ kiện dành riêng cho ứng dụng như máy đo độ giãn . Máy kiểm tra vạn năng có nhiều khả năng chịu lực khác nhau và có thể được cấu hình với các đồ gá khác nhau để kiểm tra bất kỳ sản phẩm, thành phần hoặc vật liệu nào.
THIẾT LẬP KIỂM TRA ĐỘ BỀN KÉO
  • Để thực hiện thử nghiệm độ bền kéo, người vận hành phải thực hiện nhiều nhiệm vụ khác nhau để đảm bảo rằng thử nghiệm đang được tiến hành theo các tiêu chuẩn thử nghiệm nội bộ và/hoặc bên ngoài. Tùy thuộc vào phòng thí nghiệm, các tác vụ này có thể được tự động hóa một phần hoặc hoàn toàn, mặc dù người vận hành luôn chịu trách nhiệm về tính chính xác của thiết lập.
  • Sau khi bạn đã tải mẫu vật của mình vào hệ thống và gắn máy đo độ giãn, đã đến lúc bắt đầu thử nghiệm của bạn. Khi thiết lập thử nghiệm, bạn sẽ chọn phương pháp thử nghiệm thích hợp trong phần mềm thử nghiệm của mình và nhập bất kỳ thông số cần thiết nào về tốc độ thử nghiệm, phép đo mẫu thử hoặc tiêu chí cuối cùng. Sau khi bạn hướng dẫn hệ thống khởi động, máy sẽ tác dụng lực kéo lên mẫu của bạn theo quy định của phương pháp thử và ghi lại dữ liệu khi mẫu của bạn phản ứng với ứng suất. Sau khi thử nghiệm hoàn tất, có thể lấy mẫu ra và xuất dữ liệu để nghiên cứu thêm. 
CHUẨN BỊ MẪU THỬ
  • Hình dạng mẫu vật rất khác nhau tùy thuộc vào vật liệu được thử nghiệm và phương pháp thử nghiệm hoặc tiêu chuẩn được sử dụng. Các cơ quan quản lý như ASTM và ISO có các yêu cầu mẫu tiêu chuẩn cho các vật liệu khác nhau, cho phép so sánh các đặc tính của chúng một cách đáng tin cậy giữa các lô và nhà sản xuất khác nhau.
  • Các mẫu thử kéo thường được gia công hoặc đúc khuôn theo hình xương chó, cung cấp 'vai' được thiết kế để giữ bằng tay cầm của máy thử và 'chiều dài thước đo' để đo các đặc tính kéo. Kích thước của các vai này, chiều dài thước đo giữa chúng, chiều dài và chiều rộng của toàn bộ mẫu đều được quy định bởi tiêu chuẩn thử nghiệm.


CHÈN MẪU THỬ VÀO MÁ KẸP
  • Tùy thuộc vào kích thước và kết cấu của vật liệu, các loại kẹp và bề mặt hàm kẹp khác nhau có thể được yêu cầu để kẹp mẫu thành công. Tay nắm có sẵn với nhiều khả năng chịu lực khác nhau và với các loại bề mặt được bọc cao su, nhẵn, có răng cưa và các loại bề mặt khác. Để đảm bảo rằng lực tác dụng theo đúng hướng, các thiết bị căn chỉnh khác nhau có sẵn để hỗ trợ người vận hành khi đưa mẫu thử vào kẹp.


THIẾT BỊ ĐO BIẾN DẠNG
  • Biến dạng là phép đo biến dạng của mẫu vật dưới tác dụng của ứng suất và là một phần cơ bản của đặc tính vật liệu theo yêu cầu của hầu hết các tiêu chuẩn thử nghiệm. Các thiết bị đo biến dạng như máy đo độ giãn thường được sử dụng để thực hiện phép đo này. Các thiết bị tiếp xúc như máy đo độ giãn kẹp được gắn vào mẫu sau khi nó được đặt vào kẹp.


BẮT ĐẦU THỬ NGHIỆM
  • Sau khi bạn đã tải mẫu vật của mình vào hệ thống và gắn máy đo độ giãn, đã đến lúc bắt đầu thử nghiệm của bạn. Khi thiết lập thử nghiệm, bạn sẽ chọn phương pháp thử nghiệm thích hợp trong phần mềm thử nghiệm của mình và nhập bất kỳ thông số cần thiết nào về tốc độ thử nghiệm, phép đo mẫu thử hoặc tiêu chí cuối cùng. Sau khi bạn hướng dẫn hệ thống khởi động, máy sẽ tác dụng lực kéo lên mẫu của bạn theo quy định của phương pháp thử và ghi lại dữ liệu khi mẫu của bạn phản ứng với ứng suất. Sau khi thử nghiệm hoàn tất, có thể lấy mẫu ra và xuất dữ liệu để nghiên cứu thêm. 
PHÂN TÍCH DỮ LIỆU THỬ NGHIỆM ĐỘ BỀN
  • Đo lường một vật liệu hoặc sản phẩm ở độ căng cho phép các nhà sản xuất có được một hồ sơ đầy đủ về các đặc tính kéo của nó. Khi được vẽ trên biểu đồ, dữ liệu này dẫn đến một đường cong ứng suất/biến dạng cho biết cách vật liệu phản ứng với các lực tác dụng. Mặc dù các tiêu chuẩn khác nhau yêu cầu phép đo các tính chất cơ học khác nhau, nhưng điểm quan tâm lớn nhất thường là điểm đứt hoặc hỏng, mô đun đàn hồi , cường độ chảy và độ biến dạng.

Độ bền kéo
  • Một trong những tính chất quan trọng nhất mà chúng ta có thể xác định về vật liệu là độ bền kéo cuối cùng (UTS) của nó. Đây là ứng suất tối đa mà mẫu vật chịu được trong quá trình thử nghiệm. UTS có thể tương đương hoặc không tương đương với độ bền của mẫu thử khi đứt, tùy thuộc vào việc vật liệu giòn, dễ uốn hay thể hiện các đặc tính của cả hai. Đôi khi một vật liệu có thể dẻo khi được thử nghiệm trong phòng thí nghiệm, nhưng khi được đưa vào sử dụng và tiếp xúc với nhiệt độ cực lạnh, nó có thể chuyển sang trạng thái giòn.
Định luật Hooke
  • Đối với hầu hết các vật liệu, phần ban đầu của phép thử sẽ thể hiện mối quan hệ tuyến tính giữa lực hoặc tải trọng tác dụng và độ giãn dài mà mẫu vật thể hiện. Trong vùng tuyến tính này, đường thẳng tuân theo mối quan hệ được định nghĩa là Định luật Hooke, trong đó tỷ lệ giữa ứng suất và biến dạng là một hằng số. E là độ dốc của đường trong vùng này ứng suất (σ) tỷ lệ với biến dạng (ε) và được gọi là mô đun đàn hồi hay mô đun trẻ :
 
Mô đun đàn hồi
  • Mô đun đàn hồi là thước đo độ cứng của vật liệu chỉ áp dụng trong vùng tuyến tính ban đầu của đường cong. Trong vùng tuyến tính này, tải trọng kéo có thể được loại bỏ khỏi mẫu vật và vật liệu sẽ trở lại tình trạng chính xác như trước khi tải trọng được áp dụng. Tại thời điểm khi đường cong không còn tuyến tính và lệch khỏi mối quan hệ đường thẳng, Định luật Hooke không còn áp dụng và một số biến dạng vĩnh viễn xảy ra trong mẫu vật. Điểm này được gọi là giới hạn đàn hồi hoặc tỷ lệ . Từ thời điểm này trở đi trong thử nghiệm độ bền kéo, vật liệu phản ứng dẻo với bất kỳ sự gia tăng nào thêm về tải trọng hoặc ứng suất. Nó sẽ không trở lại trạng thái ban đầu, không chịu ứng suất nếu bỏ tải.
Cường độ ứng suất
  • Cường độ ứng suất của vật liệu được định nghĩa là ứng suất tác dụng lên vật liệu tại đó biến dạng dẻo bắt đầu xảy ra.
Phương pháp bù đắp
  • Đối với một số vật liệu (ví dụ như kim loại và nhựa), không thể dễ dàng xác định được sự lệch khỏi vùng đàn hồi tuyến tính. Do đó, một phương pháp bù đắp để xác định cường độ năng suất của vật liệu được cho phép. Phương pháp này thường được áp dụng khi đo cường độ ứng suất của kim loại. Khi thử nghiệm kim loại theo tiêu chuẩn ASTM E8/E8M , độ lệch được chỉ định là phần trăm biến dạng (thường là 0,2%). Ứng suất (R) được xác định từ giao điểm "r" khi đường của vùng đàn hồi tuyến tính (có độ dốc bằng mô đun đàn hồi) được vẽ từ phần bù "m" trở thành cường độ năng suất bù .
Mô-đun thay thế
  • Các đường cong kéo của một số vật liệu không có vùng tuyến tính được xác định rõ ràng. Trong những trường hợp này, Tiêu chuẩn ASTM E111 cung cấp các phương pháp thay thế để xác định mô đun của vật liệu, cũng như mô đun của vật liệu trẻ. Các mô đun thay thế này là mô đun secant và mô đun tiếp tuyến .
Sự căng
  • Chúng tôi cũng có thể tìm thấy mức độ giãn hoặc độ giãn dài mà mẫu trải qua trong quá trình thử nghiệm độ bền kéo. Điều này có thể được thể hiện dưới dạng phép đo tuyệt đối trong sự thay đổi độ dài hoặc dưới dạng phép đo tương đối được gọi là "biến dạng". Bản thân sức căng có thể được thể hiện theo hai cách khác nhau, đó là "độ căng kỹ thuật" và "độ căng thực sự".
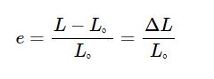
  • Biến dạng kỹ thuật có lẽ là biểu hiện biến dạng dễ nhất và phổ biến nhất được sử dụng. Đó là tỷ lệ của sự thay đổi độ dài so với độ dài ban đầu:
  • Biến dạng thực cũng tương tự, nhưng dựa trên chiều dài tức thời của mẫu thử khi tiến hành thử nghiệm, trong đó L i là chiều dài tức thời và L 0 là chiều dài ban đầu:
Vui lòng liên hệ với chúng tôi để được tư vấn và hỗ trợ

⇒  Mr. Ba: 0948.27.99.88

⇒  Hoặc để lại lời nhắn chúng tôi sẽ gọi điện trực tiếp cho bạn. Xin trân trọng cảm ơn!

Các tin khác

Quá trình Dẻo Hóa trong Gia Công Nhựa – Nguyên Lý, Thiết Bị và Ứng Dụng trong Công Nghệ Gia Công
16/06/2025 | Thử nghiệm nhựa

Quá trình Dẻo Hóa trong Gia Công Nhựa – Nguyên Lý, Thiết Bị và Ứng Dụng trong Công Nghệ Gia Công

Dẻo hóa là một công đoạn quan trọng trong ngành công nghiệp chế biến chất dẻo, nơi vật liệu nhựa dưới ...
Quy trình pha trộn nguyên liệu và máy trộn chất dẻo
09/06/2025 | Thử nghiệm nhựa

Quy trình pha trộn nguyên liệu và máy trộn chất dẻo

Trong ngành công nghiệp chất dẻo, pha trộn là một bước quan trọng nhằm đảm bảo sự đồng nhất của hỗn ...
Quy trình sản xuất nhựa: Gia công cắt nhỏ chuẩn bị nguyên liệu
03/06/2025 | Thử nghiệm nhựa

Quy trình sản xuất nhựa: Gia công cắt nhỏ chuẩn bị nguyên liệu

Dưới đây là một bài phân tích chi tiết về quy trình gia công cắt nhỏ trong sản xuất và chế ...
Kiểm tra độ bền kéo trên tấm phim theo tiêu chuẩn ISO 527-3
14/07/2023 | Thử nghiệm nhựa

Kiểm tra độ bền kéo trên tấm phim theo tiêu chuẩn ISO 527-3

Kiểm tra độ bền kéo trên màng có ý nghĩa rất lớn trong ngành bao bì màng. Thử nghiệm độ bền ...
Độ bền va đập của Izod đối với nhựa theo tiêu chuẩn ISO 180
14/07/2023 | Thử nghiệm nhựa

Độ bền va đập của Izod đối với nhựa theo tiêu chuẩn ISO 180

Các thử nghiệm va đập Izod được sử dụng để mô tả đặc tính độ bền va đập của vật liệu ...
Thử nghiệm va đập theo tiêu chuẩn ASTM D256 Izod trên nhựa
14/07/2023 | Thử nghiệm nhựa

Thử nghiệm va đập theo tiêu chuẩn ASTM D256 Izod trên nhựa

Tiêu chuẩn ASTM D256 mô tả thử nghiệm tác động theo phương pháp Izod để xác định khả năng chống va ...
 Tác động Charpy và độ bền va đập có khía của nhựa theo tiêu chuẩn ISO 179-1 & ISO 179-2
14/07/2023 | Thử nghiệm nhựa

Tác động Charpy và độ bền va đập có khía của nhựa theo tiêu chuẩn ISO 179-1 & ISO 179-2

Kiểm tra tác động có khía trên nhựa Các tiêu chuẩn ISO 179-1 (thử nghiệm độ bền va đập không có thiết ...
Máy kiểm tra tác động con lắc trên ống nhựa hoặc các đoạn ống
14/07/2023 | Thử nghiệm nhựa

Máy kiểm tra tác động con lắc trên ống nhựa hoặc các đoạn ống

Kiểm tra tác động với Máy kiểm tra tác động con lắc trên ống nhựa hoặc các đoạn ống theo tiêu ...
Khách hàng
khách hàng 43
khách hàng 42
khách hàng 41
khách hàng 40
khách hàng 39
khách hàng 38
khách hàng 35
khách hàng 36
khách hàng 35
khách hàng 34
khách hàng 33
khách hàng 32
khách hàng 31
khách hàng 30
khách hàng 29
khách hàng 28
khách hàng 27
khách hàng 26
khách hàng 25
khách hàng 24
Đối tác
doi tac 20
doi tac 19
doi tac 18
doi tac 17
doi tac 16
doi tac 15
doi tac 14
doi tac 13
doi tac 12
doi tac 11
doi tac 10
doi tac 9
doi tac 8
doi tac 7
doi tac 6
doi tac 5
doi tac 4
doi tac 3
doi tac 2
đối tác 1
Zalo
Hotline
Bản đồ
Youtube